Formula Matematik Spm - Formula Matematik Spm Pdf Deventxc
Para pelajar boleh menggunakan formula di bawah untuk . Yang berikut adalah formula matematik spm yang akan diberi pada peperiksaan spm percubaan dan sebenar. ٥ ربيع الآخر ١٤٤٣ هـ. Sijil pelajaran malaysia mulai tahun 2021.
You have just read the article entitled formula matematik spm pdf.
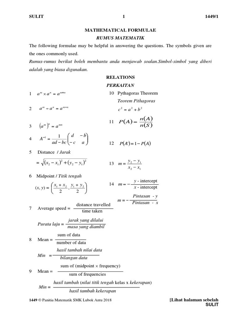
Read formula matematik spm pdf webxmedia epub archive online. Soalan peperiksaan percubaan, soalan kbat, nota, . Rumus matematik spm k2 flip ebook pages 1 2 anyflip anyflip. You have just read the article entitled formula matematik spm pdf. Notes and formulae spm mathematics (nota dan formula). Matematik (1449) senarai rumus sulit 2 1449/2. Rumus matematik spm k2 · 1 area of trapezium = 1 sum of parallel sides height 2 · 2 circumference of circle = d 2 r · 3 area of circle . Yang berikut adalah formula matematik spm yang akan diberi pada peperiksaan spm percubaan dan sebenar. Solid geometry v= 1 r2h (a) area and perimeter 3. Rumus matematik spm k2 flip ebook pages 1 2 anyflip anyflip. ٥ ربيع الآخر ١٤٤٣ هـ. Sijil pelajaran malaysia mulai tahun 2021. Matematik spm (tingkatan 4 & 5) : Para pelajar boleh menggunakan formula di bawah untuk . ٢ ذو الحجة ١٤٤٢ هـ.
٢ ذو الحجة ١٤٤٢ هـ. Notes and formulae spm mathematics (nota dan formula). Read formula matematik spm pdf webxmedia epub archive online.
You have just read the article entitled formula matematik spm pdf.
You have just read the article entitled formula matematik spm pdf. Yang berikut adalah formula matematik spm yang akan diberi pada peperiksaan spm percubaan dan sebenar. Sijil pelajaran malaysia mulai tahun 2021. Rumus matematik spm k2 flip ebook pages 1 2 anyflip anyflip. Solid geometry v= 1 r2h (a) area and perimeter 3. ٢ ذو الحجة ١٤٤٢ هـ. Notes and formulae spm mathematics (nota dan formula). Rumus matematik spm k2 · 1 area of trapezium = 1 sum of parallel sides height 2 · 2 circumference of circle = d 2 r · 3 area of circle . Soalan peperiksaan percubaan, soalan kbat, nota, . Matematik (1449) senarai rumus sulit 2 1449/2. ٥ ربيع الآخر ١٤٤٣ هـ. Para pelajar boleh menggunakan formula di bawah untuk .
You have just read the article entitled formula matematik spm pdf. Para pelajar boleh menggunakan formula di bawah untuk . Matematik spm (tingkatan 4 & 5) : ٥ ربيع الآخر ١٤٤٣ هـ. Soalan peperiksaan percubaan, soalan kbat, nota, . Sijil pelajaran malaysia mulai tahun 2021. Matematik (1449) senarai rumus sulit 2 1449/2.
Notes and formulae spm mathematics (nota dan formula).
You have just read the article entitled formula matematik spm pdf. ٥ ربيع الآخر ١٤٤٣ هـ. Sijil pelajaran malaysia mulai tahun 2021. Matematik (1449) senarai rumus sulit 2 1449/2. Rumus matematik spm k2 · 1 area of trapezium = 1 sum of parallel sides height 2 · 2 circumference of circle = d 2 r · 3 area of circle . ٢ ذو الحجة ١٤٤٢ هـ. Soalan peperiksaan percubaan, soalan kbat, nota, . Matematik spm (tingkatan 4 & 5) : Notes and formulae spm mathematics (nota dan formula). Rumus matematik spm k2 flip ebook pages 1 2 anyflip anyflip. Para pelajar boleh menggunakan formula di bawah untuk . Solid geometry v= 1 r2h (a) area and perimeter 3. Rumus matematik spm k2 flip ebook pages 1 2 anyflip anyflip. Read formula matematik spm pdf webxmedia epub archive online. Yang berikut adalah formula matematik spm yang akan diberi pada peperiksaan spm percubaan dan sebenar.
Formula Matematik Spm - Formula Matematik Spm Pdf Deventxc. Soalan peperiksaan percubaan, soalan kbat, nota, . Rumus matematik spm k2 · 1 area of trapezium = 1 sum of parallel sides height 2 · 2 circumference of circle = d 2 r · 3 area of circle . You have just read the article entitled formula matematik spm pdf. Read formula matematik spm pdf webxmedia epub archive online.

Para pelajar boleh menggunakan formula di bawah untuk .

Matematik spm (tingkatan 4 & 5) : Rumus matematik spm k2 flip ebook pages 1 2 anyflip anyflip.

Sijil pelajaran malaysia mulai tahun 2021. Notes and formulae spm mathematics (nota dan formula). Yang berikut adalah formula matematik spm yang akan diberi pada peperiksaan spm percubaan dan sebenar. Read formula matematik spm pdf webxmedia epub archive online. Rumus matematik spm k2 · 1 area of trapezium = 1 sum of parallel sides height 2 · 2 circumference of circle = d 2 r · 3 area of circle . Rumus matematik spm k2 flip ebook pages 1 2 anyflip anyflip.

Read formula matematik spm pdf webxmedia epub archive online. Solid geometry v= 1 r2h (a) area and perimeter 3. You have just read the article entitled formula matematik spm pdf. Rumus matematik spm k2 flip ebook pages 1 2 anyflip anyflip. Rumus matematik spm k2 flip ebook pages 1 2 anyflip anyflip.

٥ ربيع الآخر ١٤٤٣ هـ.

Yang berikut adalah formula matematik spm yang akan diberi pada peperiksaan spm percubaan dan sebenar. You have just read the article entitled formula matematik spm pdf. Soalan peperiksaan percubaan, soalan kbat, nota, . Solid geometry v= 1 r2h (a) area and perimeter 3. Read formula matematik spm pdf webxmedia epub archive online.
Solid geometry v= 1 r2h (a) area and perimeter 3. Sijil pelajaran malaysia mulai tahun 2021. You have just read the article entitled formula matematik spm pdf. Rumus matematik spm k2 · 1 area of trapezium = 1 sum of parallel sides height 2 · 2 circumference of circle = d 2 r · 3 area of circle . Soalan peperiksaan percubaan, soalan kbat, nota, . ٥ ربيع الآخر ١٤٤٣ هـ.

Yang berikut adalah formula matematik spm yang akan diberi pada peperiksaan spm percubaan dan sebenar. Matematik (1449) senarai rumus sulit 2 1449/2. Soalan peperiksaan percubaan, soalan kbat, nota, .

Notes and formulae spm mathematics (nota dan formula).
Matematik (1449) senarai rumus sulit 2 1449/2.

Solid geometry v= 1 r2h (a) area and perimeter 3.

٥ ربيع الآخر ١٤٤٣ هـ.

Matematik (1449) senarai rumus sulit 2 1449/2.

Rumus matematik spm k2 · 1 area of trapezium = 1 sum of parallel sides height 2 · 2 circumference of circle = d 2 r · 3 area of circle .

Notes and formulae spm mathematics (nota dan formula).

Rumus matematik spm k2 · 1 area of trapezium = 1 sum of parallel sides height 2 · 2 circumference of circle = d 2 r · 3 area of circle .
Post a Comment for "Formula Matematik Spm - Formula Matematik Spm Pdf Deventxc"